NMN对健康中年成年人的功效和安全性
β-米优app官方下载安卓 (米优app官方下载安卓 )是一种天然产物,在大多数植物中少量存在,如毛豆、西兰花和黄瓜。它也是所有哺乳动物组织中的内源性分子。其生物学功能与增强烟酰胺腺嘌呤二核苷酸 (NAD) 的能力有关,NAD 是 NAD 生物合成中补救途径的产物,NMN是 NAD 的前体。NAD 浓度随着年龄的增长而下降,通过其在哺乳动物组织中的能量代谢和多聚 ADP 核糖聚合酶 (PARP)、Sirtuin 蛋白等的激活功能,影响哺乳动物的寿命和与年龄相关的健康状况。
在动物研究中,补充 β-烟酰胺单核苷酸 (NMN) 可以增加烟酰胺腺嘌呤二核苷酸 (NAD) 浓度,并安全地延长健康寿命和寿命。
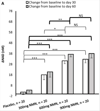
2022年一项随机、多中心、双盲、安慰剂对照、平行组、剂量依赖性临床试验纳入了 80 名中年健康成年人,随机接受为期 60 天的临床试验,每天口服一次安慰剂,300 毫克,600 毫克毫克,或 900 毫克 NMN。研究旨在测试 NMN 补充剂对血液的影响NMN 补充剂的 NAD 浓度(主要结果)、安全性、耐受性和临床疗效(次要结果)。
研究显示在第 30 天和第 60 天,所有三个 NMN 治疗组的血液 NAD 浓度均较基线显着增加(所有p ≤ 0.001),而安慰剂组在同一时期没有显着变化。与安慰剂相比,所有三个 NMN 治疗组的血液 NAD 浓度在第 30 天和第 60 天的时间点均显着增加(均p < 0.001)。

研究证明每日口服剂量高达 900 毫克的 NMN 补充剂是安全的且耐受性良好。没有出现与 NMN 治疗相关的不良事件和中途退出。在所有三种剂量的 60 天 NMN 治疗期间,实验室参数和体检均未显示明显的异常变化。
总之,在 NMN 治疗期间,血液 NAD 浓度显着且呈剂量依赖性增加。此次NMN试验安全性和耐受性观察结果与其他已发表的人体临床试验的结果一致。补充 NMN 对健康成年人的身体耐力和总体健康状况有积极影响。
*特别说明 - 本文仅作资讯科普用途,不能代替医生的治疗诊断和建议,不应被视为对所涉医疗产品的推荐或功效证明。涉及疾病诊断、治疗、康复相关的,请务必前往专业医疗机构就诊,寻求专业意见。